Официальное опубликование правовых актов
ОФИЦИАЛЬНОЕ ОПУБЛИКОВАНИЕ
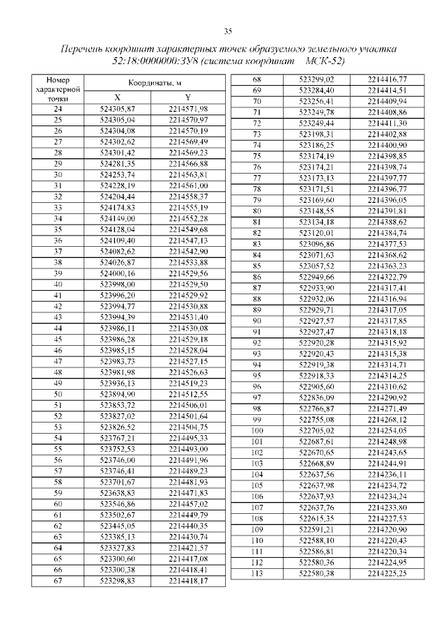
Приказ Министерства градостроительной деятельности и развития агломераций Нижегородской области от 07.11.2022 № 06-01-03/60 "Об утверждении документации по планировке территории, расположенной от ул. Горная (в районе дома 162а по пр. Гагарина) до перекрестка пр. Гагарина и ул. Терешковой в Приокском районе г.о.г. Нижний Новгород"
(Зарегистрирован 01.12.2022 № 22060-330-006-01-03/60)
Номер опубликования: 5201202212020004
Дата опубликования: 02.12.2022
Страница №37 из 40:
Увеличить