Официальное опубликование правовых актов
ОФИЦИАЛЬНОЕ ОПУБЛИКОВАНИЕ
Приказ Министерства градостроительной деятельности и развития агломераций Нижегородской области от 19.05.2022 № 06-01-03/19
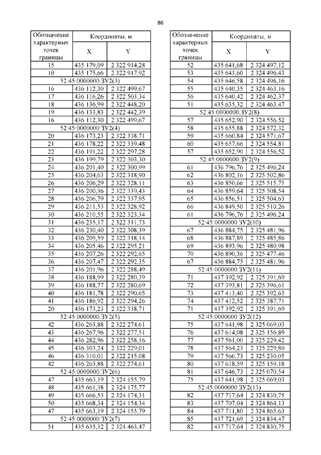
"Об утверждении документации по планировке территории, расположенной между д. Овечий Овраг в Краснооктябрьском районе и д. Вязовка, с. Акузово, д. Новая Березовка, с. Старая Березовка, д. Каменка в Сергачском районе Нижегородской области"
(Зарегистрирован 16.06.2022 № 20349-330-006-01-03/19)
Номер опубликования: 5201202206170005
Дата опубликования: 17.06.2022
Страница №88 из 145:
Увеличить