Официальное опубликование правовых актов
ОФИЦИАЛЬНОЕ ОПУБЛИКОВАНИЕ
Приказ Министерства градостроительной деятельности и развития агломераций Нижегородской области от 18.05.2022 № 06-01-03/17
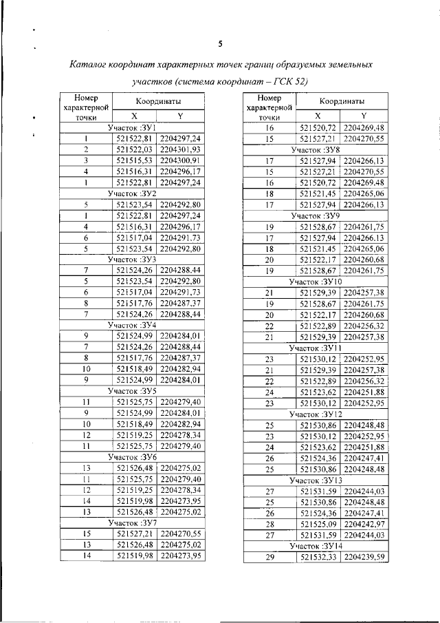
"Об утверждении документации по внесению изменений в документацию по планировке территории (проект межевания), расположенной в районе зданий 37 и 37б по пр. Молодежному в Автозаводском районе города Нижнего Новгорода"
(Зарегистрирован 10.06.2022 № 20304-330-006-01-03/17)
Номер опубликования: 5201202206140002
Дата опубликования: 14.06.2022
Страница №7 из 9:
Увеличить