Официальное опубликование правовых актов
ОФИЦИАЛЬНОЕ ОПУБЛИКОВАНИЕ
Приказ Министерства экологии и природных ресурсов Нижегородской области от 19.05.2022 № 319-495/22П/од
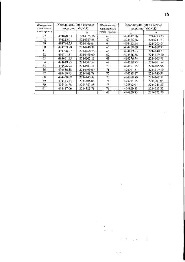
"Об установлении зон санитарной охраны водозаборных скважин, расположенных в п. Нижегородец Дальнеконстантиновского района Нижегородской области"
(Зарегистрирован 06.06.2022 № 20275-319-319-495/22П/од)
Номер опубликования: 5201202206090015
Дата опубликования: 09.06.2022
Страница №10 из 10:
Увеличить