Официальное опубликование правовых актов
ОФИЦИАЛЬНОЕ ОПУБЛИКОВАНИЕ
Приказ Министерства градостроительной деятельности и развития агломераций Нижегородской области от 11.05.2022 № 06-01-03/11
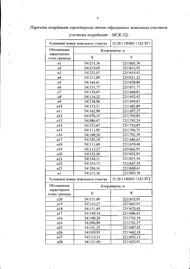
"Об утверждении проекта планировки и проекта межевания территории в целях реконструкции сооружения "Сооружение (газопровод), протяженность: 357202,73 п.м. инвентарный номер:90334. Адрес (местоположение): Нижегородская область, г. Бор (Реконструкция межпоселкового газопровода по адресу: Борский район, дер. Зарубино-Бор, от ПК78-1,97 до ПК 156-54,26)" код стройки 24200-17-4"
(Зарегистрирован 06.06.2022 № 20266-330-006-01-03/11)
Номер опубликования: 5201202206090005
Дата опубликования: 09.06.2022
Страница №9 из 11:
Увеличить