Официальное опубликование правовых актов
ОФИЦИАЛЬНОЕ ОПУБЛИКОВАНИЕ
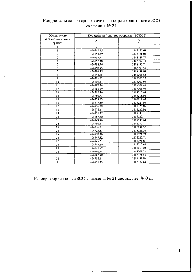
Приказ Министерства экологии и природных ресурсов Нижегородской области от 04.05.2022 № 319-474/22П/од "Об установлении зон санитарной охраны водозаборного участка МУП "УВКХ" д. Ключищи Богородского муниципального округа Нижегородской области"
(Зарегистрирован 16.05.2022 № 20139-319-319-474/22П/од)
Номер опубликования: 5201202205190002
Дата опубликования: 19.05.2022
Страница №4 из 7:
Увеличить