Официальное опубликование правовых актов
ОФИЦИАЛЬНОЕ ОПУБЛИКОВАНИЕ
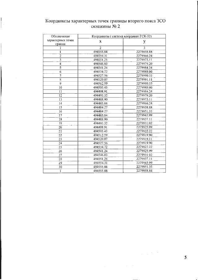
Приказ Министерства экологии и природных ресурсов Нижегородской области от 13.04.2022 № 319-454/22П/од
"Об установлении зон санитарной охраны водозаборного участка МУП "Лысковокоммунсервис" п. Плодопитомник Лысковского муниципального округа Нижегородской области"
(Зарегистрирован 05.05.2022 № 20012-319-319-454/22П/од)
Номер опубликования: 5201202205060012
Дата опубликования: 06.05.2022
Страница №5 из 7:
Увеличить