Официальное опубликование правовых актов
ОФИЦИАЛЬНОЕ ОПУБЛИКОВАНИЕ
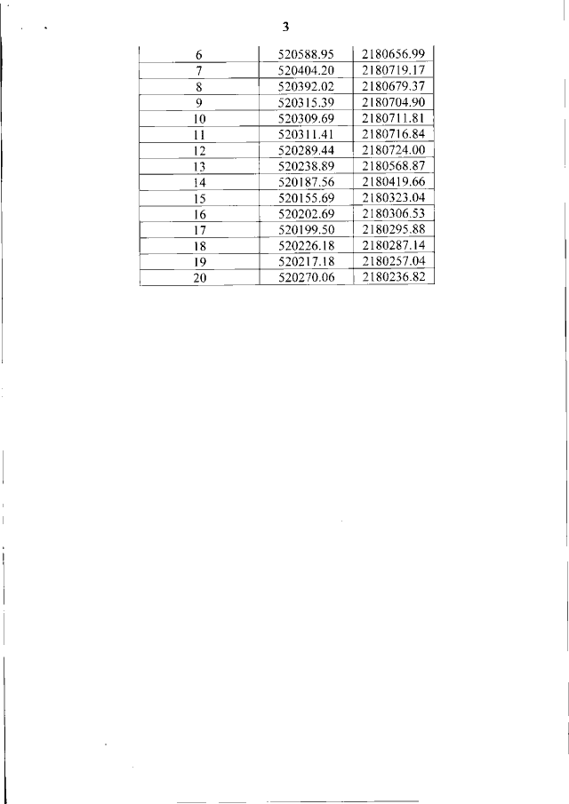
Приказ Министерства градостроительной деятельности и развития агломераций Нижегородской области от 12.04.2022 № 07-02-03/32
"Об утверждении документации по внесению изменений в проект межевания территории, ограниченной ул. Петрищева, ул. Гайдара, просп. Циолковского, проездом Свято-Тихоновский в городе Дзержинске Нижегородской области"
(Зарегистрирован 05.05.2022 № 20013-330-007-02-03/32)
Номер опубликования: 5201202205060011
Дата опубликования: 06.05.2022
Страница №5 из 6:
Увеличить