Официальное опубликование правовых актов
ОФИЦИАЛЬНОЕ ОПУБЛИКОВАНИЕ
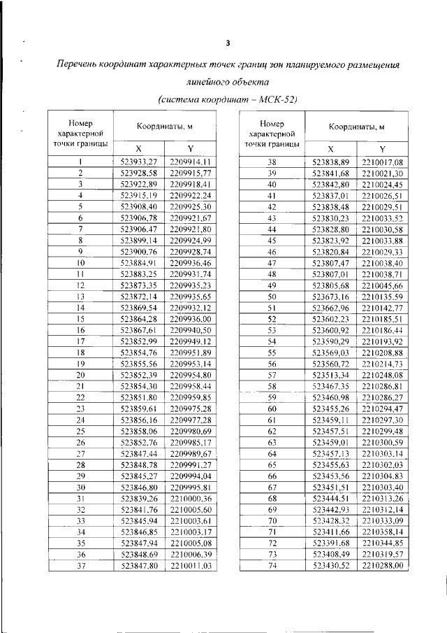
Приказ Министерства градостроительной деятельности и развития агломераций Нижегородской области от 07.04.2022 № 06-01-03/9 "Об утверждении проекта планировки и проекта межевания территории в целях реконструкции сооружения "Сооружение (газопровод, в состав которого входят 54 ГРП), назначение: Сеть газоснабжения, Протяженность 400449,29 п.м., инв. № 90530, адрес (местоположение) объекта: Нижегородская область, г. Нижний Новгород, Автозаводский, Ленинский, Канавинский районы (Реконструкция газопровода по адресу: г. Нижний Новгород, ул. Удмуртская РС-2 "Жидкий газ". Код стройки 23814-20-30)"
(Зарегистрирован 04.05.2022 № 19996-330-006-01-03/9)
Номер опубликования: 5201202205060002
Дата опубликования: 06.05.2022
Страница №5 из 16:
Увеличить