Официальное опубликование правовых актов
ОФИЦИАЛЬНОЕ ОПУБЛИКОВАНИЕ
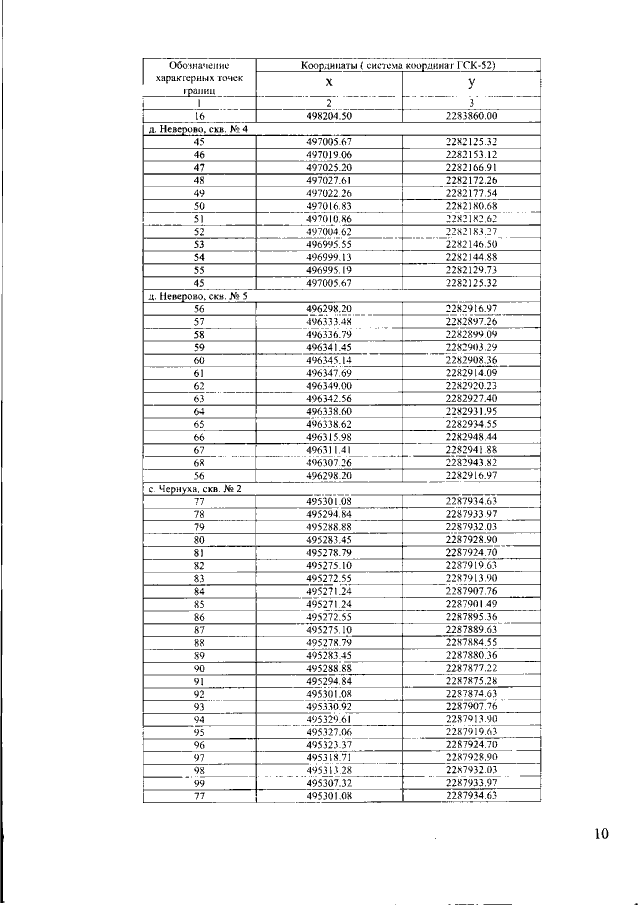
Приказ Министерства экологии и природных ресурсов Нижегородской области от 07.04.2022 № 319-445/22П/од "Об установлении зон санитарной охраны водозаборных скважин МУП "ЖКХ Лысковского района", расположенных в с. Трофимово, д. Неверово, с. Чернуха, с. Плотинское, д. Окишино, д. Ушаковка Лысковского муниципального округа Нижегородской области"
(Зарегистрирован 28.04.2022 № 19954-319-319-445/22П/од)
Номер опубликования: 5201202205040006
Дата опубликования: 04.05.2022
Страница №10 из 34:
Увеличить