Официальное опубликование правовых актов
ОФИЦИАЛЬНОЕ ОПУБЛИКОВАНИЕ
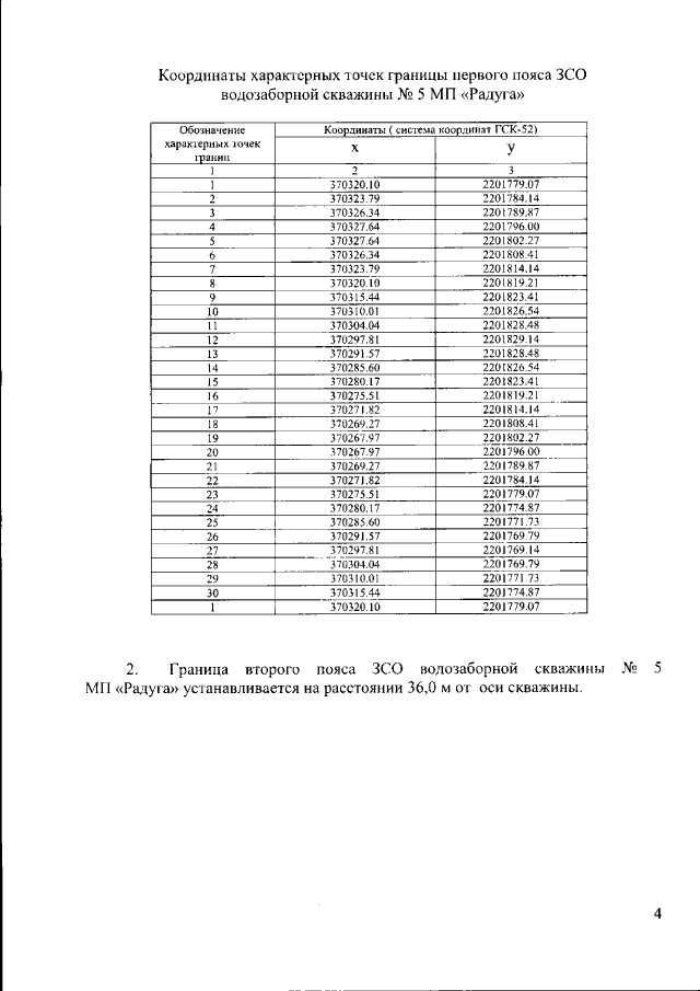
Приказ Министерства экологии и природных ресурсов Нижегородской области от 28.03.2022 № 319-284/22П/од "Об установлении зон санитарной охраны водозаборного участка МП "Радуга" г.о.г. Первомайск Нижегородской области"
(Зарегистрирован 19.04.2022 № 19774-319-319-284/22П/од)
Номер опубликования: 5201202204200004
Дата опубликования: 20.04.2022
Страница №4 из 7:
Увеличить