Официальное опубликование правовых актов
ОФИЦИАЛЬНОЕ ОПУБЛИКОВАНИЕ
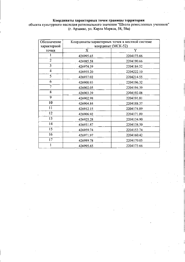
Приказ Управления государственной охраны объектов культурного наследия Нижегородской области от 25.03.2022 № 89 "Об утверждении границы и режима использования территории объекта культурного наследия регионального значения "Школа ремесленных учеников", расположенного в г. Арзамасе"
(Зарегистрирован 14.04.2022 № 19744-518-089)
Номер опубликования: 5201202204150004
Дата опубликования: 15.04.2022
Страница №4 из 6:
Увеличить