Официальное опубликование правовых актов
ОФИЦИАЛЬНОЕ ОПУБЛИКОВАНИЕ
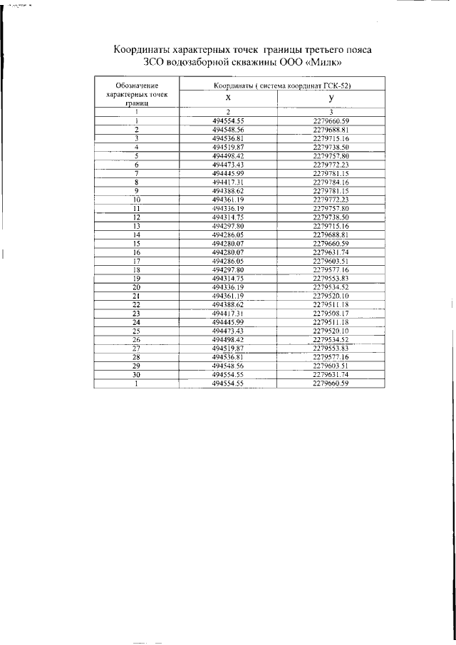
Приказ Министерства экологии и природных ресурсов Нижегородской области от 21.03.2022 № 319-92/22П/од "Об установлении зон санитарной охраны водозаборной скважины ООО "Милк" на южной окраине г. Лысково Лысковского муниципального округа Нижегородской области"
(Зарегистрирован 11.04.2022 № 19682-319-319-92/22П/од)
Номер опубликования: 5201202204130003
Дата опубликования: 13.04.2022
Страница №6 из 6:
Увеличить