Официальное опубликование правовых актов
ОФИЦИАЛЬНОЕ ОПУБЛИКОВАНИЕ
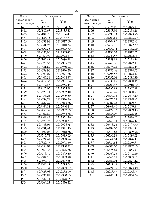
Приказ Министерства градостроительной деятельности и развития агломераций Нижегородской области от 11.03.2022 № 06-01-03/4 "Об утверждении документации по планировке территории, расположенной в городе Нижнем Новгороде и Кстовском муниципальном округе Нижегородской области"
(Зарегистрирован 06.04.2022 № 19619-330-006-01-03/4)
Номер опубликования: 5201202204080006
Дата опубликования: 08.04.2022
Страница №31 из 126:
Увеличить