Официальное опубликование правовых актов
ОФИЦИАЛЬНОЕ ОПУБЛИКОВАНИЕ
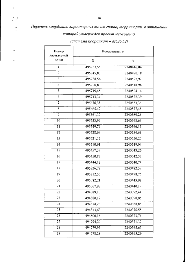
Приказ Министерства градостроительной деятельности и развития агломераций Нижегородской области от 14.03.2022 № 06-01-03/7 "Об утверждении документации по планировке территории, расположенной в районе с. Слободское Кстовского муниципального округа Нижегородской области"
(Зарегистрирован 06.04.2022 № 19617-330-006-01-03/7)
Номер опубликования: 5201202204080004
Дата опубликования: 08.04.2022
Страница №16 из 20:
Увеличить