Официальное опубликование правовых актов
ОФИЦИАЛЬНОЕ ОПУБЛИКОВАНИЕ
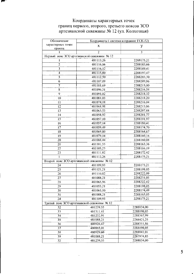
Приказ Министерства экологии и природных ресурсов Нижегородской области от 16.03.2022 № 319-88/22П/од "Об установлении зон санитарной охраны водозабора с. Островское МУП "Княгининское ЖКХ" Княгининского муниципального района Нижегородской области"
(Зарегистрирован 06.04.2022 № 19624-319-319-88/22П/од)
Номер опубликования: 5201202204080001
Дата опубликования: 08.04.2022
Страница №5 из 8:
Увеличить