Официальное опубликование правовых актов
ОФИЦИАЛЬНОЕ ОПУБЛИКОВАНИЕ
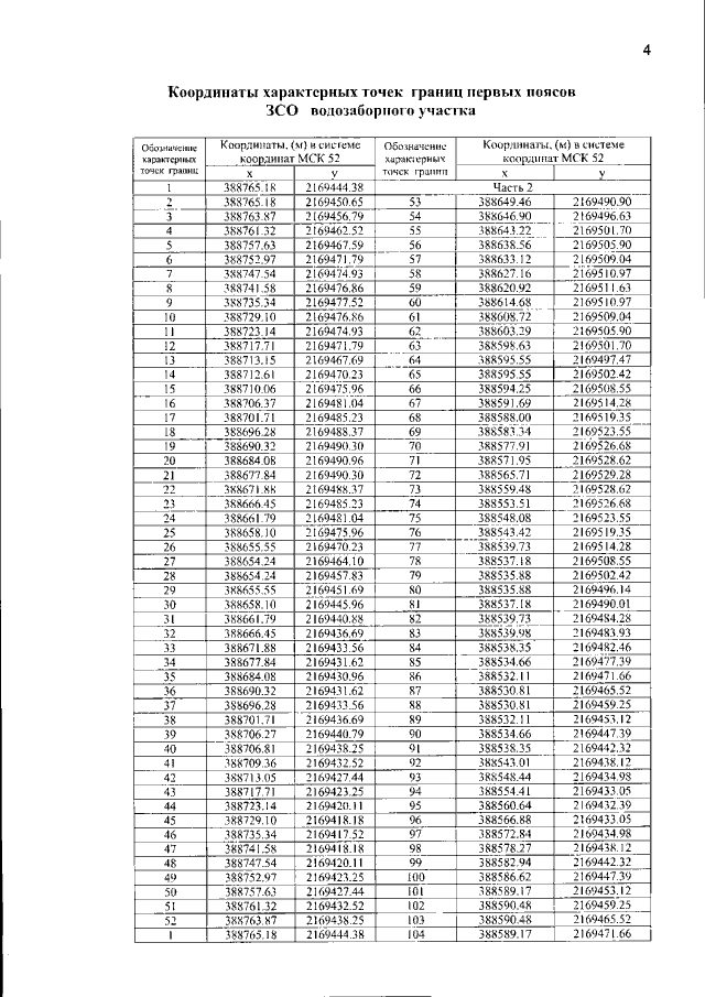
Приказ Министерства экологии и природных ресурсов Нижегородской области от 14.03.2022 № 319-84/22П/од "Об установлении зоны санитарной охраны водозаборного участка МП "Дивеевское ЖКХ" Дивеевского муниципального округа Нижегородской области"
(Зарегистрирован 04.04.2022 № 19608-319-319-84/22П/од)
Номер опубликования: 5201202204070003
Дата опубликования: 07.04.2022
Страница №4 из 7:
Увеличить