Официальное опубликование правовых актов
ОФИЦИАЛЬНОЕ ОПУБЛИКОВАНИЕ
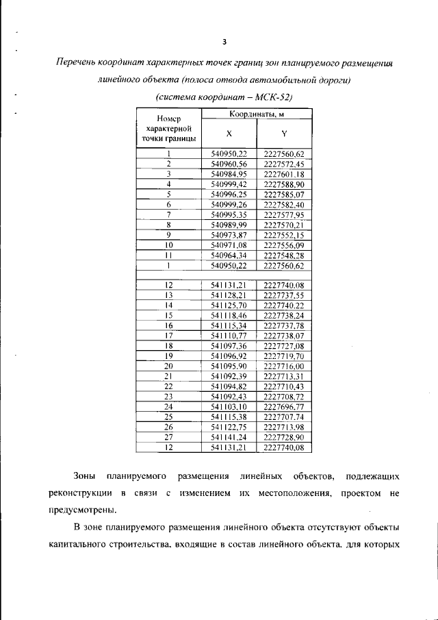
Приказ Министерства градостроительной деятельности и развития агломераций Нижегородской области от 05.03.2022 № 06-01-03/3 "Об утверждении документации по планировке территории, расположенной на участке автомобильной дороги (22 ОП МЗ 22Н-0705) Бор - Развилье - Филипповское - Уткино на км 9+879, 9+950 в городском округе город Бор Нижегородской области"
(Зарегистрирован 01.04.2022 № 19585-330-006-01-03/3)
Номер опубликования: 5201202204060005
Дата опубликования: 06.04.2022
Страница №5 из 10:
Увеличить