Официальное опубликование правовых актов
ОФИЦИАЛЬНОЕ ОПУБЛИКОВАНИЕ
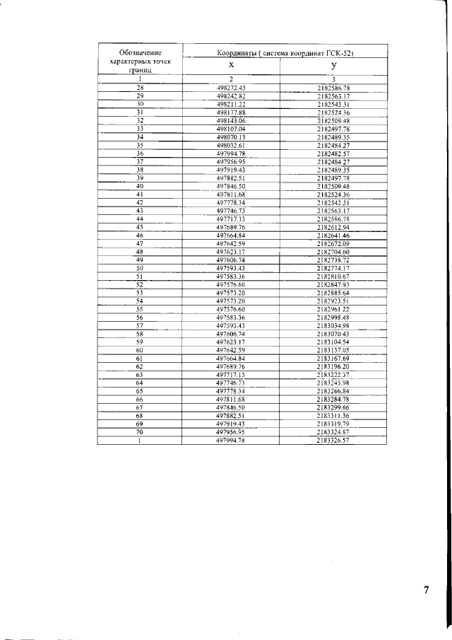
Приказ Министерства экологии и природных ресурсов Нижегородской области от 09.03.2022 № 319-79/4/22П/од "Об установлении зон санитарной охраны водозаборного участка МУП "УВКХ" северо-восточнее д. Савелово Богородского муниципального округа Нижегородской области"
(Зарегистрирован 01.04.2022 № 19583-319-319-79/4/22П/од)
Номер опубликования: 5201202204060002
Дата опубликования: 06.04.2022
Страница №7 из 7:
Увеличить