Официальное опубликование правовых актов
ОФИЦИАЛЬНОЕ ОПУБЛИКОВАНИЕ
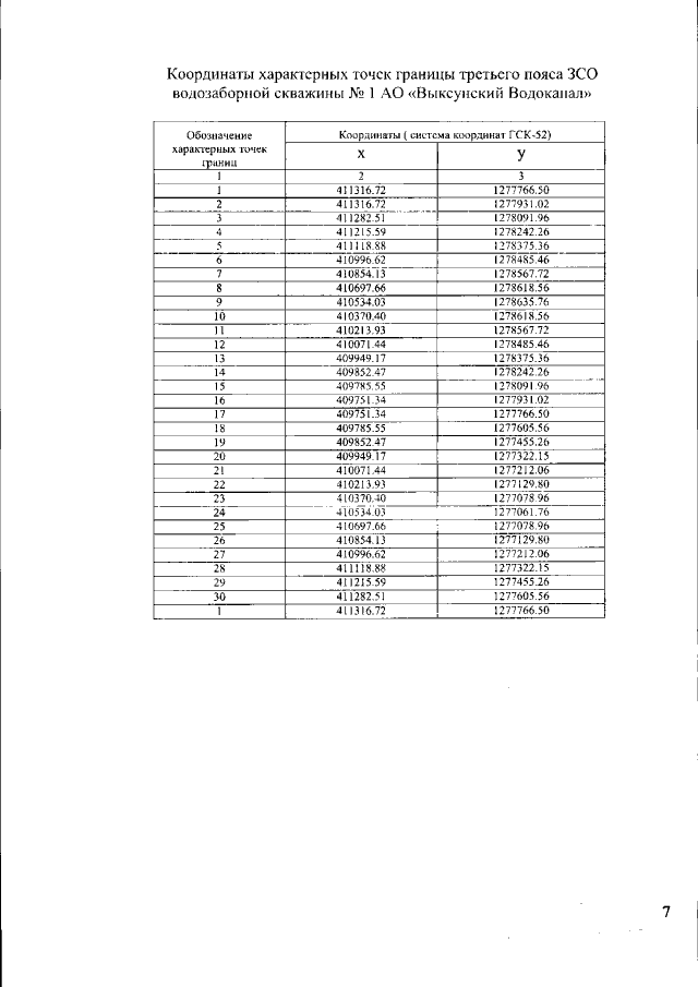
Приказ Министерства экологии и природных ресурсов Нижегородской области от 25.02.2022 № 319-44/22П/од "Об установлении зон санитарной охраны водозаборной скважины АО "Выксунский Водоканал" в с. Нижняя Верея г.о.г. Выкса Нижегородской области"
(Зарегистрирован 21.03.2022 № 19490-319-319-44/22П/од)
Номер опубликования: 5201202203230003
Дата опубликования: 23.03.2022
Страница №7 из 7:
Увеличить