Официальное опубликование правовых актов
ОФИЦИАЛЬНОЕ ОПУБЛИКОВАНИЕ
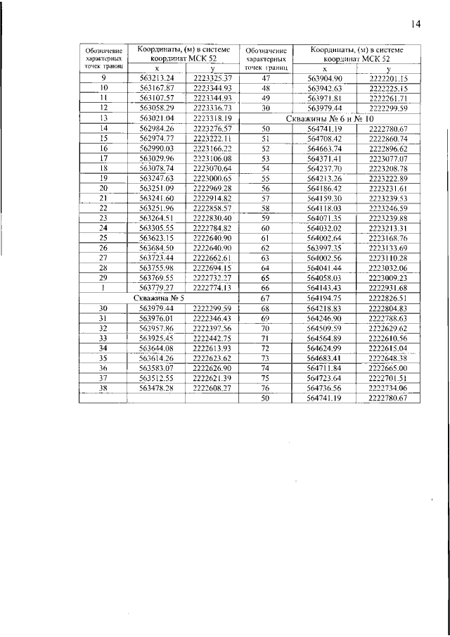
Приказ Министерства экологии и природных ресурсов Нижегородской области от 21.02.2022 № 319-39/22П/од "Об установлении зон санитарной охраны водозаборных скважин АО "Линдовская птицефабрика-племенной завод", расположенных в с. Линда городского округа город Бор Нижегородской области"
(Зарегистрирован 16.03.2022 № 19463-319-319-39/22П/од)
Номер опубликования: 5201202203180005
Дата опубликования: 18.03.2022
Страница №14 из 14:
Увеличить