Официальное опубликование правовых актов
ОФИЦИАЛЬНОЕ ОПУБЛИКОВАНИЕ
Приказ Министерства градостроительной деятельности и развития агломераций Нижегородской области от 14.02.2022 № 06-01-03/2
"Об утверждении проекта планировки и межевания территории, расположенной в районе д. Поляны в Богородском муниципальном округе Нижегородской области"
(Зарегистрирован 14.03.2022 № 19448-330-006-01-03/2)
Номер опубликования: 5201202203170003
Дата опубликования: 17.03.2022
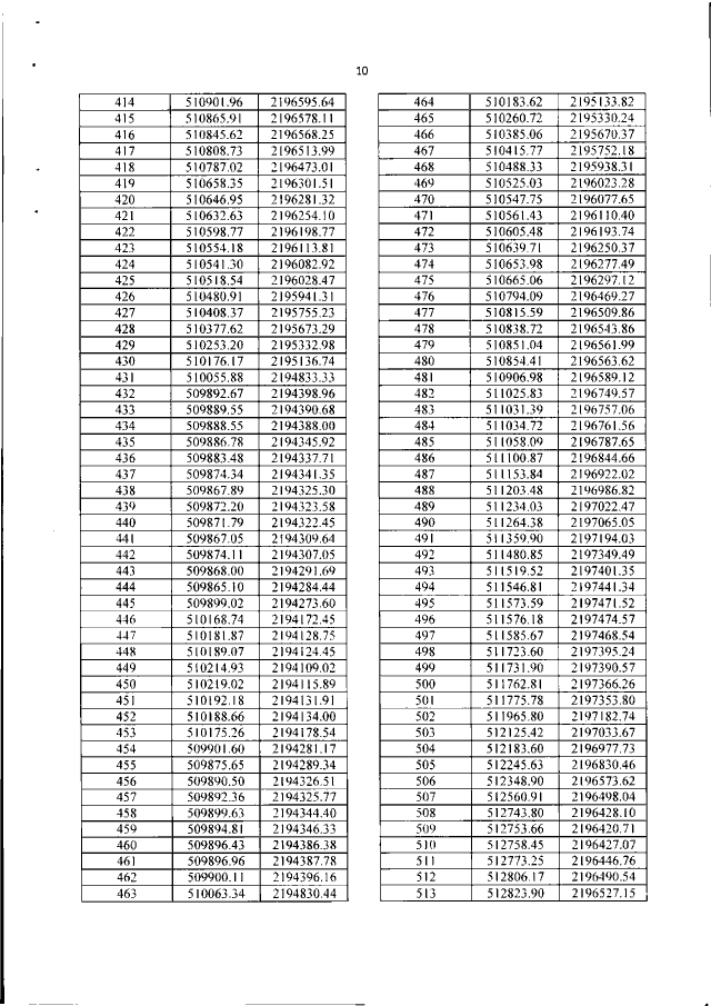
Страница №12 из 21:
Увеличить