Официальное опубликование правовых актов
ОФИЦИАЛЬНОЕ ОПУБЛИКОВАНИЕ
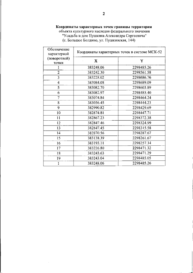
Приказ Управления государственной охраны объектов культурного наследия Нижегородской области от 24.01.2022 № 13 "Об утверждении границ и режима использования территорий объектов культурного наследия в с. Большое Болдино"
(Зарегистрирован 14.02.2022 № 19274-518-013)
Номер опубликования: 5201202202160003
Дата опубликования: 16.02.2022
Страница №4 из 8:
Увеличить