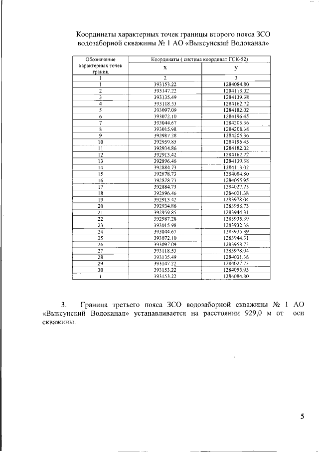
Приказ Министерства экологии и природных ресурсов Нижегородской области от 17.12.2021 № 319-559/21П/од
"Об установлении зон санитарной охраны водозаборной скважины АО "Выксунский Водоканал" в д. Норковка г.о.г. Выкса Нижегородской области"
(Зарегистрирован 10.01.2022 № 19049-319-319-559/21П/од)
"Об установлении зон санитарной охраны водозаборной скважины АО "Выксунский Водоканал" в д. Норковка г.о.г. Выкса Нижегородской области"
(Зарегистрирован 10.01.2022 № 19049-319-319-559/21П/од)
Номер опубликования: 5201202201130007
Дата опубликования:
13.01.2022
