Официальное опубликование правовых актов
ОФИЦИАЛЬНОЕ ОПУБЛИКОВАНИЕ
Приказ Министерства экологии и природных ресурсов Нижегородской области от 17.12.2021 № 319-560/21П/од
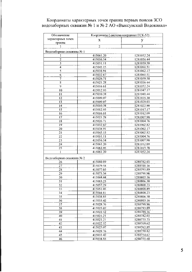
"Об установлении зон санитарной охраны водозаборных скважин АО "Выксунский Водоканал" в д. Тамболес г.о.г. Выкса Нижегородской области"
(Зарегистрирован 10.01.2022 № 19050-319-319-560/21П/од)
Номер опубликования: 5201202201130006
Дата опубликования: 13.01.2022
Страница №5 из 10:
Увеличить