Официальное опубликование правовых актов
ОФИЦИАЛЬНОЕ ОПУБЛИКОВАНИЕ
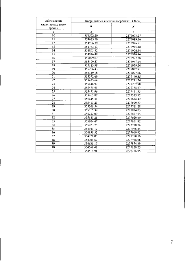
Приказ Министерства экологии и природных ресурсов Нижегородской области от 16.12.2021 № 319-556/21П/од
"Об установлении зон санитарной охраны водозаборной скважины № 1 СПК "Красный пахарь" в с. Кочкурово Починковского района Нижегородской области"
(Зарегистрирован 28.12.2021 № 18993-319-319-556/21П/од)
Номер опубликования: 5201202112300004
Дата опубликования: 30.12.2021
Страница №7 из 7:
Увеличить