Официальное опубликование правовых актов
ОФИЦИАЛЬНОЕ ОПУБЛИКОВАНИЕ
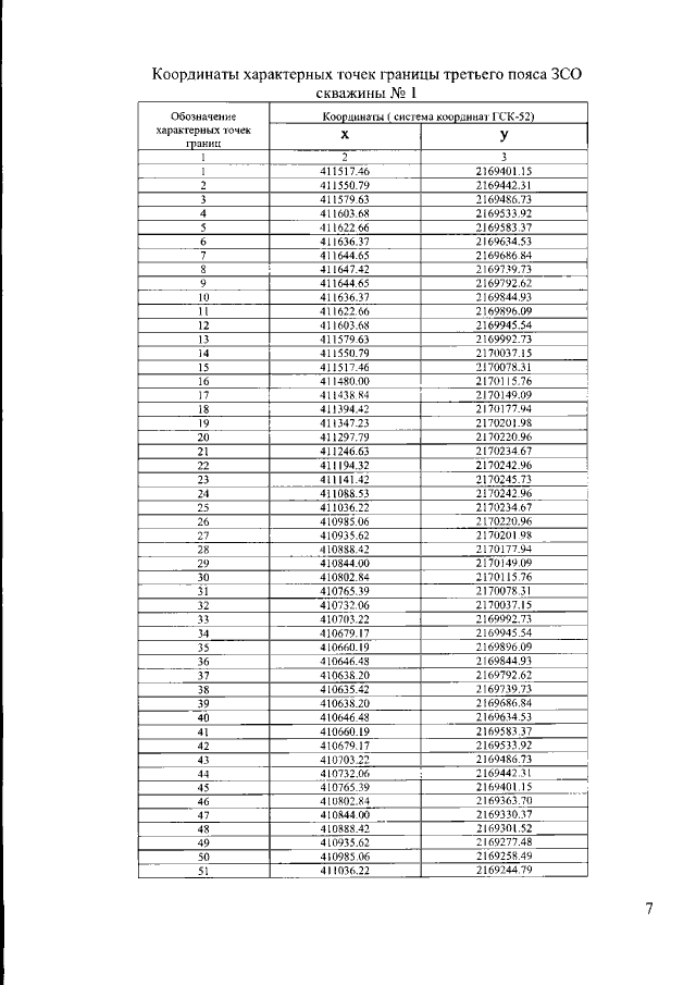
Приказ Министерства экологии и природных ресурсов Нижегородской области от 16.12.2021 № 319-557/21П/од
"Об установлении зон санитарной охраны водозаборного участка АО "Кузятовское" в с. Кузятово Ардатовского района Нижегородской области"
(Зарегистрирован 28.12.2021 № 18994-319-319-557/21П/од)
Номер опубликования: 5201202112300001
Дата опубликования: 30.12.2021
Страница №7 из 8:
Увеличить