Официальное опубликование правовых актов
ОФИЦИАЛЬНОЕ ОПУБЛИКОВАНИЕ
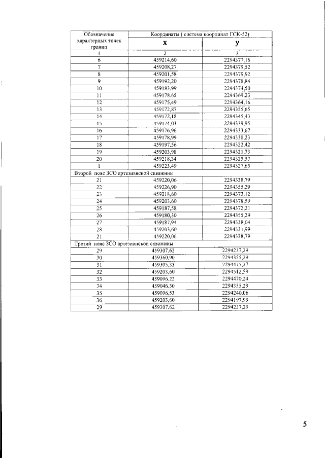
Приказ Министерства экологии и природных ресурсов Нижегородской области от 08.12.2021 № 319-543/21П/од "Об установлении зон санитарной охраны водозабора с. Озерки МУП "Княгининское ЖКХ" Княгининского муниципального района Нижегородской области"
(Зарегистрирован 27.12.2021 № 18978-319-319-543/21П/од)
Номер опубликования: 5201202112290006
Дата опубликования: 29.12.2021
Страница №5 из 5:
Увеличить