Официальное опубликование правовых актов
ОФИЦИАЛЬНОЕ ОПУБЛИКОВАНИЕ
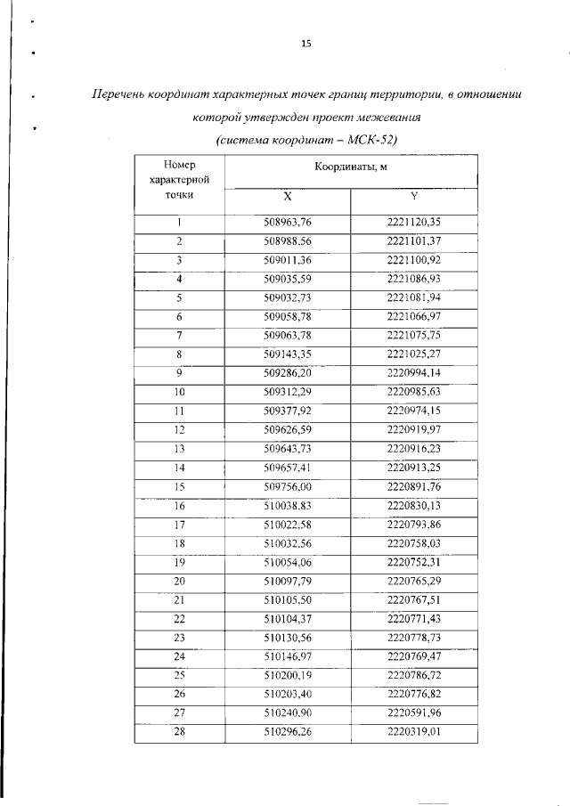
Приказ Министерства градостроительной деятельности и развития агломераций Нижегородской области от 02.12.2021 № 06-01-03/54 "Об утверждении документации по планировке территории, расположенной в районе с. Большое Мокрое Кстовского района Нижегородской области"
(Зарегистрирован 27.12.2021 № 18981-330-006-01-03/54)
Номер опубликования: 5201202112290005
Дата опубликования: 29.12.2021
Страница №17 из 20:
Увеличить