Официальное опубликование правовых актов
ОФИЦИАЛЬНОЕ ОПУБЛИКОВАНИЕ
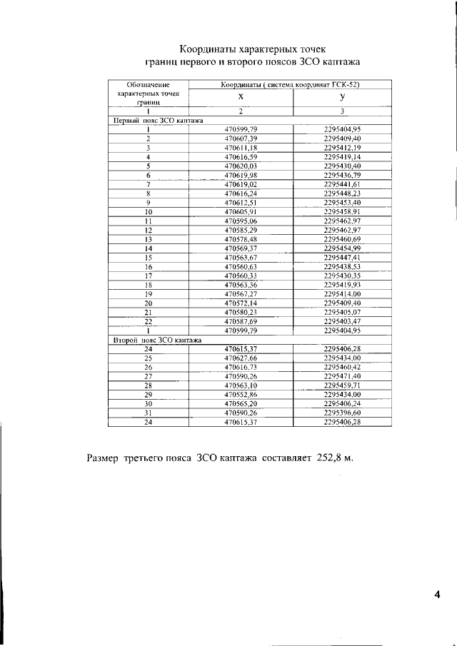
Приказ Министерства экологии и природных ресурсов Нижегородской области от 23.11.2021 № 319-517/21П/од
"Об установлении зон санитарной охраны водозабора МУП "Княгининское ЖКХ", расположенного в п. Возрождение Княгининского муниципального района Нижегородской области"
(Зарегистрирован 15.12.2021 № 18710-319-319-517/21П/од)
Номер опубликования: 5201202112170006
Дата опубликования: 17.12.2021
Страница №4 из 5:
Увеличить