Официальное опубликование правовых актов
ОФИЦИАЛЬНОЕ ОПУБЛИКОВАНИЕ
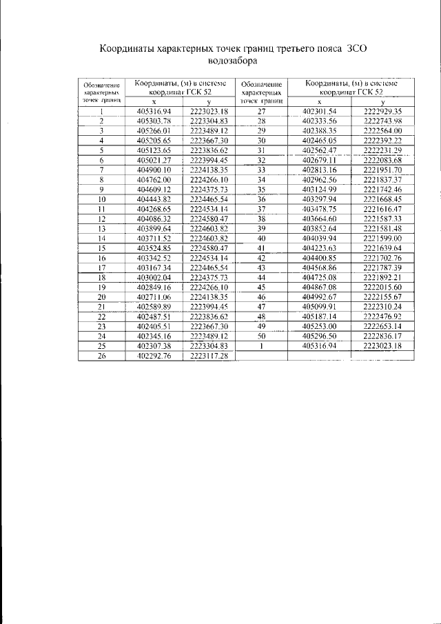
Приказ Министерства экологии и природных ресурсов Нижегородской области от 22.11.2021 № 319-516/21П/од
"Об установлении зон санитарной охраны водозабора МУП "КОМУНЭНЕРГО" в р.п. Шатки Шатковского района Нижегородской области"
(Зарегистрирован 15.12.2021 № 18705-319-319-516/21П/од)
Номер опубликования: 5201202112170004
Дата опубликования: 17.12.2021
Страница №12 из 12:
Увеличить