Приказ Министерства экологии и природных ресурсов Нижегородской области от 16.11.2021 № 319-508/21П/од
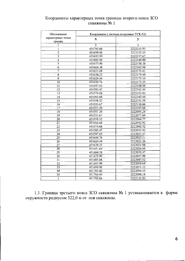
"Об установлении зон санитарной охраны водозабора ОЦ "Сережа" в Вадском муниципальном округе Нижегородской области"
(Зарегистрирован 09.12.2021 № 18624-319-319-508/21П/од)
"Об установлении зон санитарной охраны водозабора ОЦ "Сережа" в Вадском муниципальном округе Нижегородской области"
(Зарегистрирован 09.12.2021 № 18624-319-319-508/21П/од)
Номер опубликования: 5201202112100004
Дата опубликования:
10.12.2021
