Официальное опубликование правовых актов
ОФИЦИАЛЬНОЕ ОПУБЛИКОВАНИЕ
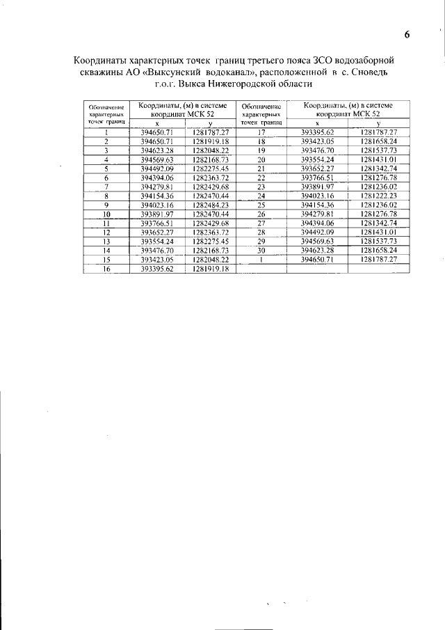
Приказ Министерства экологии и природных ресурсов Нижегородской области от 15.11.2021 № 319-505/21П/од
"Об установлении зоны санитарной охраны водозаборной скважины АО "Выксунский водоканал", расположенной в с. Сноведь г.о.г. Выкса Нижегородской области"
(Зарегистрирован 06.12.2021 № 18609-319-319-505/21П/од)
Номер опубликования: 5201202112080007
Дата опубликования: 08.12.2021
Страница №6 из 6:
Увеличить