Официальное опубликование правовых актов
ОФИЦИАЛЬНОЕ ОПУБЛИКОВАНИЕ
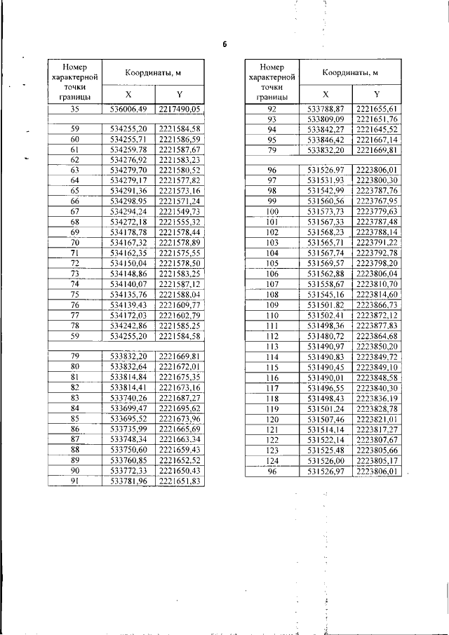
Приказ Министерства градостроительной деятельности и развития агломераций Нижегородской области от 20.10.2021 № 06-01-03/47 "Об утверждении документации по планировке территории, расположенной на участках автомобильной дороги (22 ОП РЗ 22К-0021) Неклюдово - Бор - Валки - Макарьево в г. Бор Нижегородской области на км 1+127, 1+213, 1+809, 1+960, 7+767, 7+874, 8+225, 8+267, 11+486, 11+539"
(Зарегистрирован 23.11.2021 № 18327-330-006-01-03/47)
Номер опубликования: 5201202111290012
Дата опубликования: 29.11.2021
Страница №8 из 19:
Увеличить