Официальное опубликование правовых актов
ОФИЦИАЛЬНОЕ ОПУБЛИКОВАНИЕ
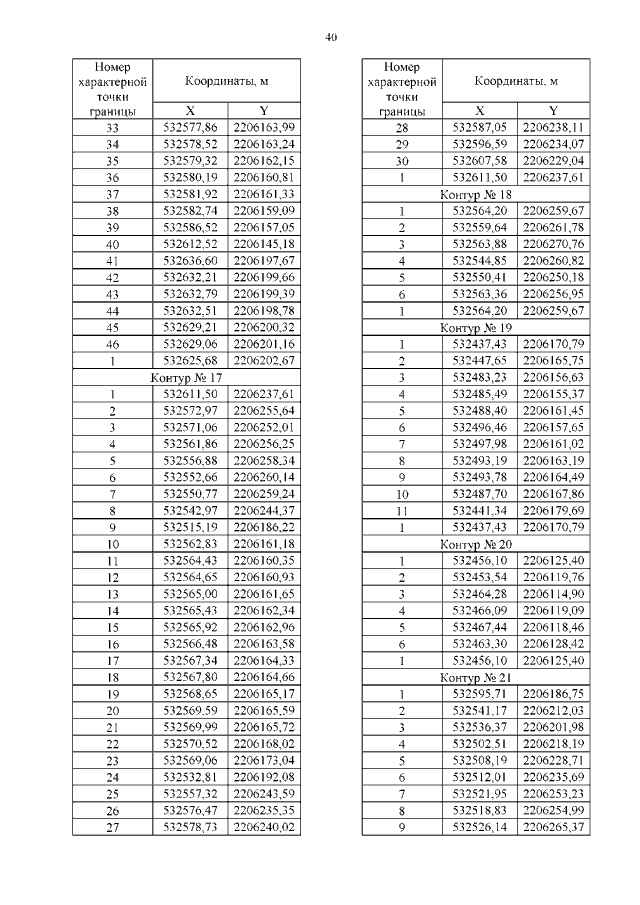
Приказ Министерства градостроительной деятельности и развития агломераций Нижегородской области от 20.10.2021 № 06-01-03/46 "Об утверждении документации по внесению изменений в документацию по планировке территории, расположенной по ул. Циолковского, ул. Кузьмина, ул. Светлоярская в Сормовском районе города Нижнего Новгорода"
(Зарегистрирован 23.11.2021 № 18326-330-006-01-03/46)
Номер опубликования: 5201202111290010
Дата опубликования: 29.11.2021
Страница №42 из 80:
Увеличить