Официальное опубликование правовых актов
ОФИЦИАЛЬНОЕ ОПУБЛИКОВАНИЕ
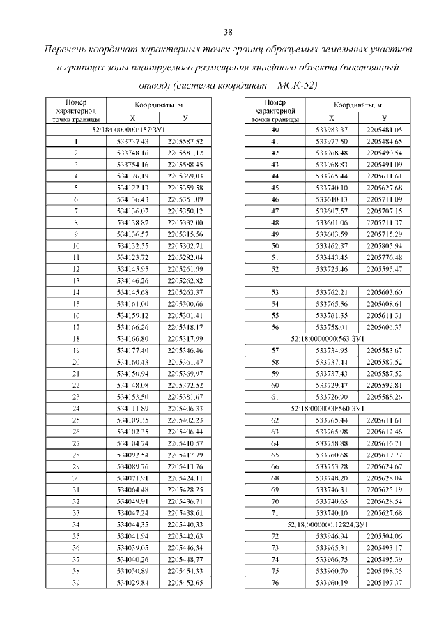
Приказ Министерства градостроительной деятельности и развития агломераций Нижегородской области от 26.10.2021 № 06-01-03/48 "Об утверждении документации по планировке территории, расположенной по ул. Светлоярская от ул. Станиславского до пр. 70 лет Октября в Сормовском районе города Нижнего Новгорода"
(Зарегистрирован 23.11.2021 № 18328-330-006-01-03/48)
Номер опубликования: 5201202111290006
Дата опубликования: 29.11.2021
Страница №40 из 45:
Увеличить