Официальное опубликование правовых актов
ОФИЦИАЛЬНОЕ ОПУБЛИКОВАНИЕ
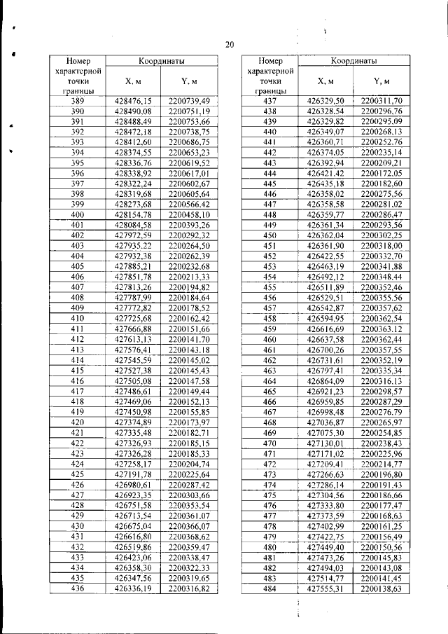
Приказ Министерства градостроительной деятельности и развития агломераций Нижегородской области от 13.10.2021 № 06-01-03/43 "Об утверждении документации по внесению изменений в проект планировки территории, расположенной северо-западнее р.п. Выездное в Арзамасском районе Нижегородской области"
(Зарегистрирован 22.11.2021 № 18281-330-006-01-03/43)
Номер опубликования: 5201202111260006
Дата опубликования: 26.11.2021
Страница №22 из 28:
Увеличить