Официальное опубликование правовых актов
ОФИЦИАЛЬНОЕ ОПУБЛИКОВАНИЕ
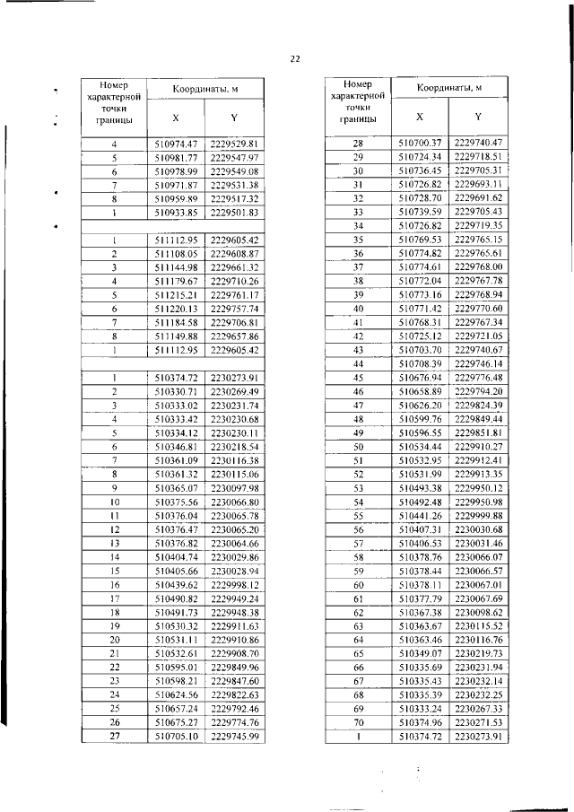
Приказ Министерства градостроительной деятельности и развития агломераций Нижегородской области от 13.10.2021 № 06-01-03/44
"Об утверждении документации по планировке территории по ул. Рачкова и ул. Островского в г. Кстово и с. Великий Враг Кстовского района Нижегородской области"
(Зарегистрирован 11.11.2021 № 18147-330-006-01-03/44)
Номер опубликования: 5201202111120007
Дата опубликования: 12.11.2021
Страница №24 из 45:
Увеличить