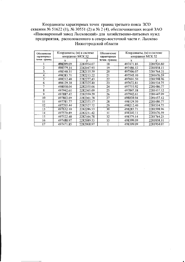
Приказ Министерства экологии и природных ресурсов Нижегородской области от 07.10.2021 № 319-428/21П/од "Об установлении зон санитарной охраны скважин № 51622 (1), № 30551 (2) и № 2 (4), обеспечивающих водой ЗАО "Пивоваренный завод Лысковский" для хозяйственно-питьевых нужд предприятия, расположенного в северо-восточной части г. Лысково Нижегородской области"
(Зарегистрирован 01.11.2021 № 18052-319-319-428/21П/од)
(Зарегистрирован 01.11.2021 № 18052-319-319-428/21П/од)
Номер опубликования: 5201202111030006
Дата опубликования:
03.11.2021
