Официальное опубликование правовых актов
ОФИЦИАЛЬНОЕ ОПУБЛИКОВАНИЕ
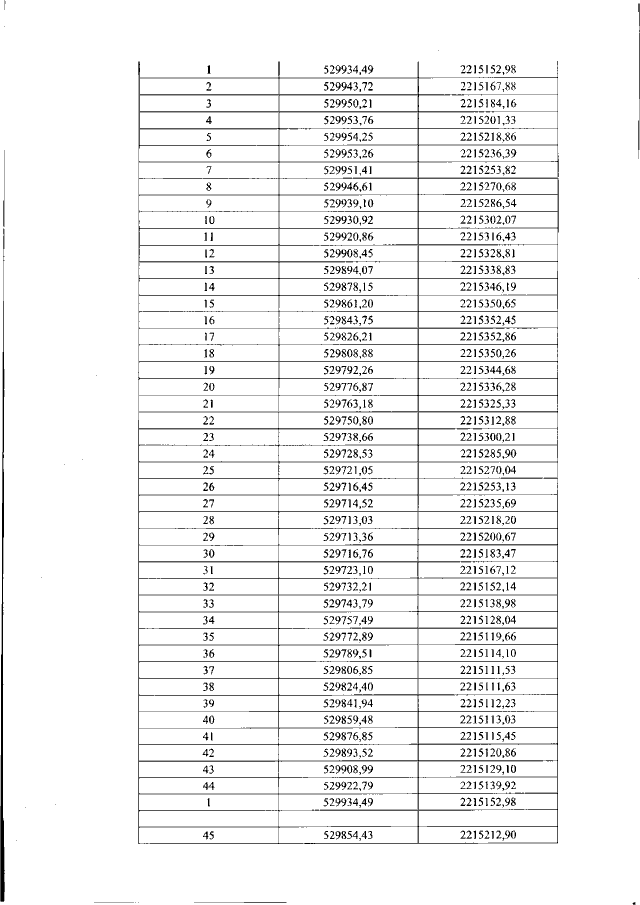
Приказ Управления государственной охраны объектов культурного наследия Нижегородской области от 11.10.2021 № 253 "Об утверждении описания местоположения границ защитных зон объектов культурного наследия регионального значения, расположенных на территории города Нижнего Новгорода, режима использования земель в границах защитных зон объектов культурного наследия"
(Зарегистрирован 28.10.2021 № 18016-518-253)
Номер опубликования: 5201202110290007
Дата опубликования: 29.10.2021
Страница №18 из 22:
Увеличить