Официальное опубликование правовых актов
ОФИЦИАЛЬНОЕ ОПУБЛИКОВАНИЕ
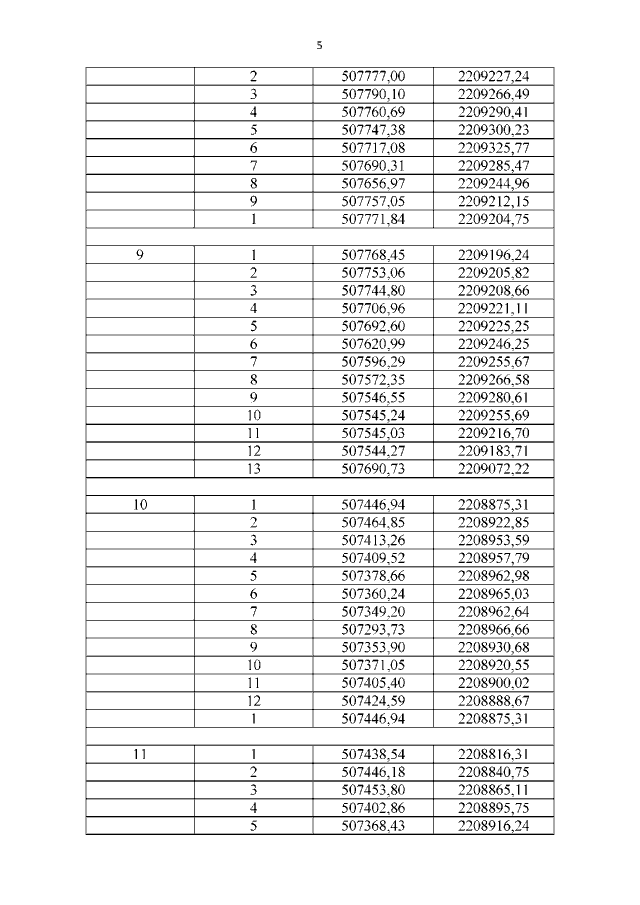
Приказ Министерства градостроительной деятельности и развития агломераций Нижегородской области от 02.07.2021 № 06-01-03/31
"Об утверждении документации по внесению изменений в документацию по планировке территории для строительства газопроводов в п. Комсомольский и ТСН "Лисьи Ямки-1" в Богородском районе Нижегородской области"
(Зарегистрирован 22.07.2021 № 17584-330-006-01-03/31)
Номер опубликования: 5201202107230013
Дата опубликования: 23.07.2021
Страница №7 из 86:
Увеличить