Официальное опубликование правовых актов
ОФИЦИАЛЬНОЕ ОПУБЛИКОВАНИЕ
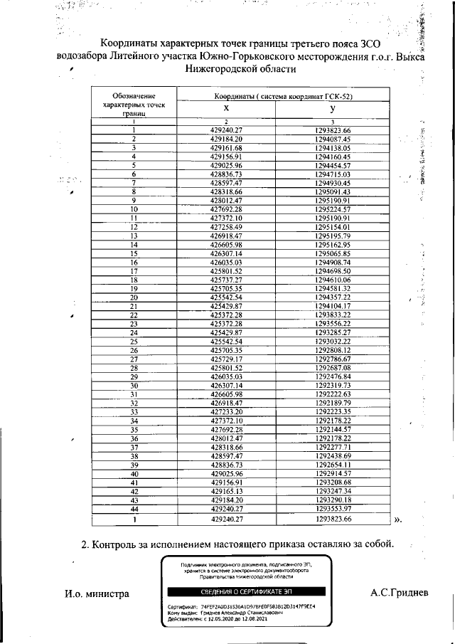
Приказ Министерства экологии и природных ресурсов Нижегородской области от 18.06.2021 № 319-287/21П/од
"О внесении изменений в приказ министерства экологии и природных ресурсов Нижегородской области от 16.09.2019 № 319-449/19П/од "Об установлении зон санитарной охраны водозабора Литейного участка Южно-Горьковского месторождения г.о.г. Выкса Нижегородской области"
(Зарегистрирован 12.07.2021 № 17517-319-319-287/21П/од)
Номер опубликования: 5201202107140011
Дата опубликования: 14.07.2021
Страница №5 из 5:
Увеличить