Официальное опубликование правовых актов
ОФИЦИАЛЬНОЕ ОПУБЛИКОВАНИЕ
Приказ Министерства градостроительной деятельности и развития агломераций Нижегородской области от 21.04.2021 № 06-01-03/20
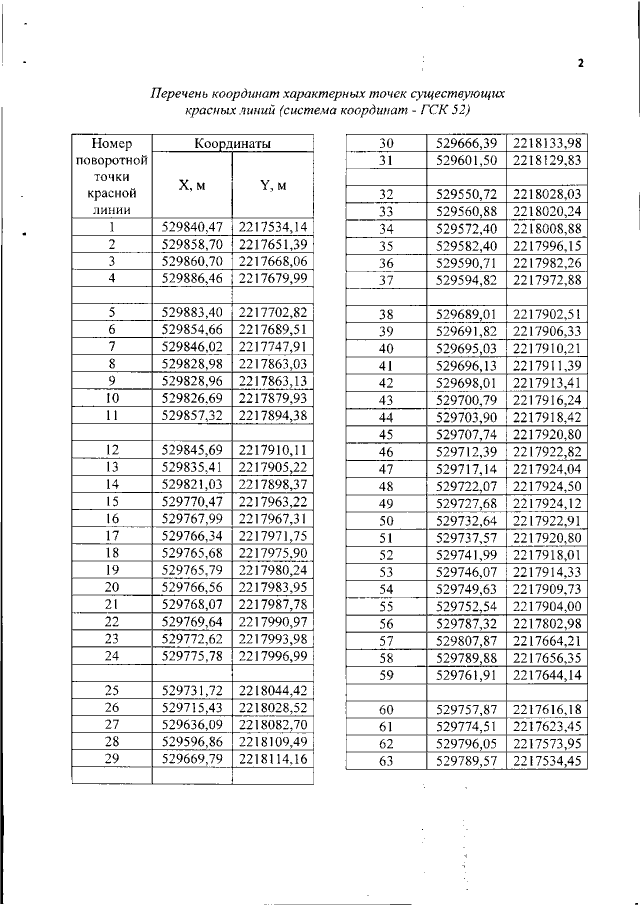
"Об утверждении документации по внесению изменений в проект планировки и межевания территории по ул. Ковалихинская на участке от ул. Трудовая до ул. Невзоровых в Нижегородском и Советском районах города Нижнего Новгорода"
(Зарегистрирован 25.05.2021 № 17234-330-006-01-03/20)
Номер опубликования: 5201202105270002
Дата опубликования: 27.05.2021
Страница №4 из 13:
Увеличить