Официальное опубликование правовых актов
ОФИЦИАЛЬНОЕ ОПУБЛИКОВАНИЕ
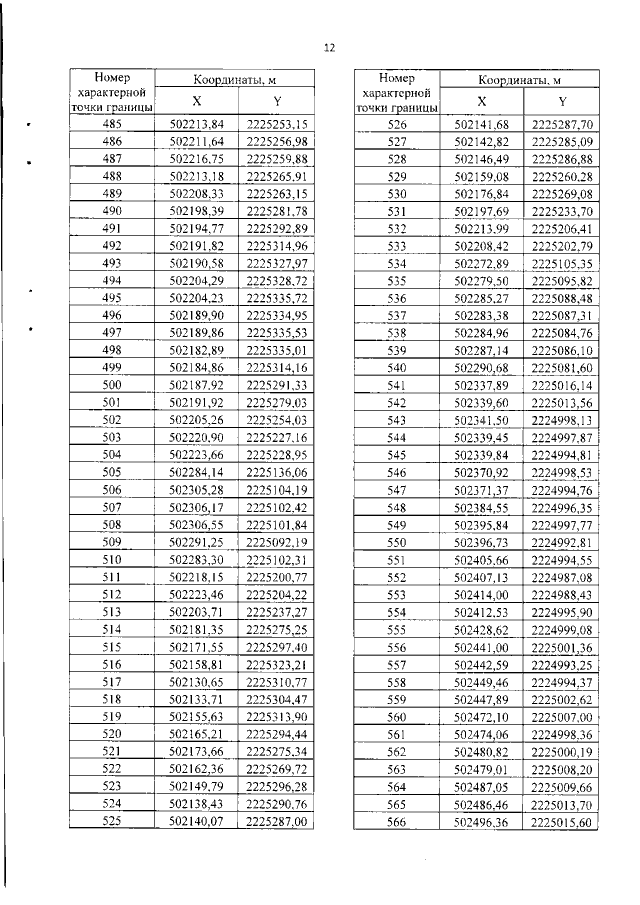
Приказ Министерства градостроительной деятельности и развития агломераций Нижегородской области от 16.04.2021 № 06-01-03/15 "Об утверждении документации по планировке территории, расположенной по улицам Тепличная, Центральная, Полевая, Северная в с.Шелокша Кстовского района Нижегородской области"
(Зарегистрирован 18.05.2021 № 17206-330-006-01-03/15)
Номер опубликования: 5201202105220008
Дата опубликования: 22.05.2021
Страница №14 из 30:
Увеличить