Официальное опубликование правовых актов
ОФИЦИАЛЬНОЕ ОПУБЛИКОВАНИЕ
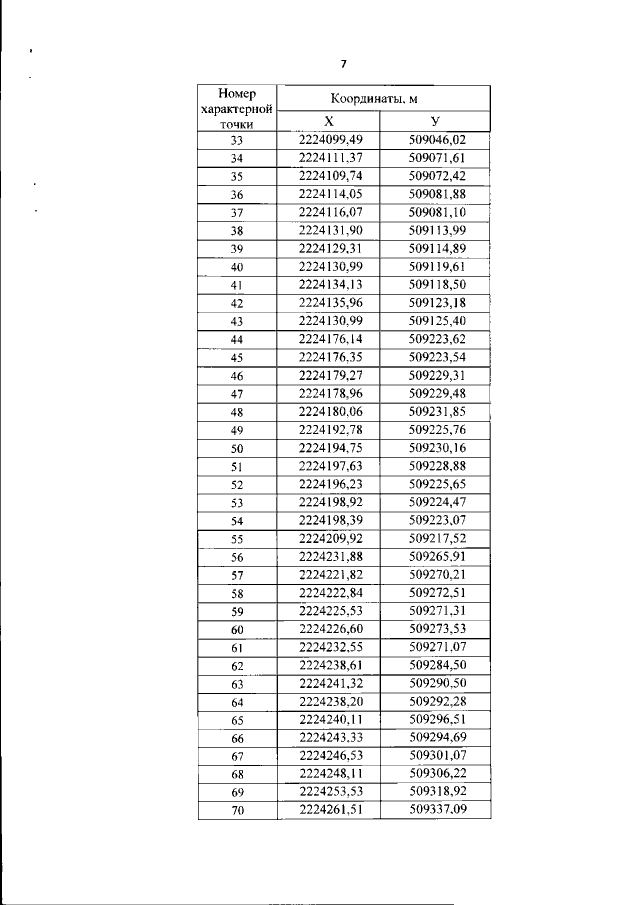
Приказ Министерства градостроительной деятельности и развития агломераций Нижегородской области от 16.04.2021 № 06-01-03/14 "Об утверждении проекта планировки территории для объекта: "Строительство газовой котельной ст. Зелецино"
(Зарегистрирован 18.05.2021 № 17205-330-006-01-03/14)
Номер опубликования: 5201202105220007
Дата опубликования: 22.05.2021
Страница №9 из 13:
Увеличить