Официальное опубликование правовых актов
ОФИЦИАЛЬНОЕ ОПУБЛИКОВАНИЕ
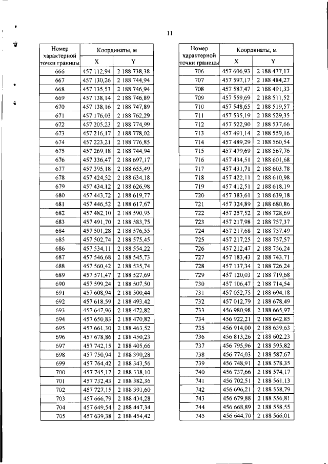
Приказ Министерства градостроительной деятельности и развития агломераций Нижегородской области от 16.04.2021 № 06-01-03/16 "Об утверждении проекта планировки и межевания территории, расположенной от п. Старая Пустынь в Арзамасском районе до городского округа г. Арзамас Нижегородской области"
(Зарегистрирован 18.05.2021 № 17207-330-006-01-03/16)
Номер опубликования: 5201202105220005
Дата опубликования: 22.05.2021
Страница №13 из 52:
Увеличить