Официальное опубликование правовых актов
ОФИЦИАЛЬНОЕ ОПУБЛИКОВАНИЕ
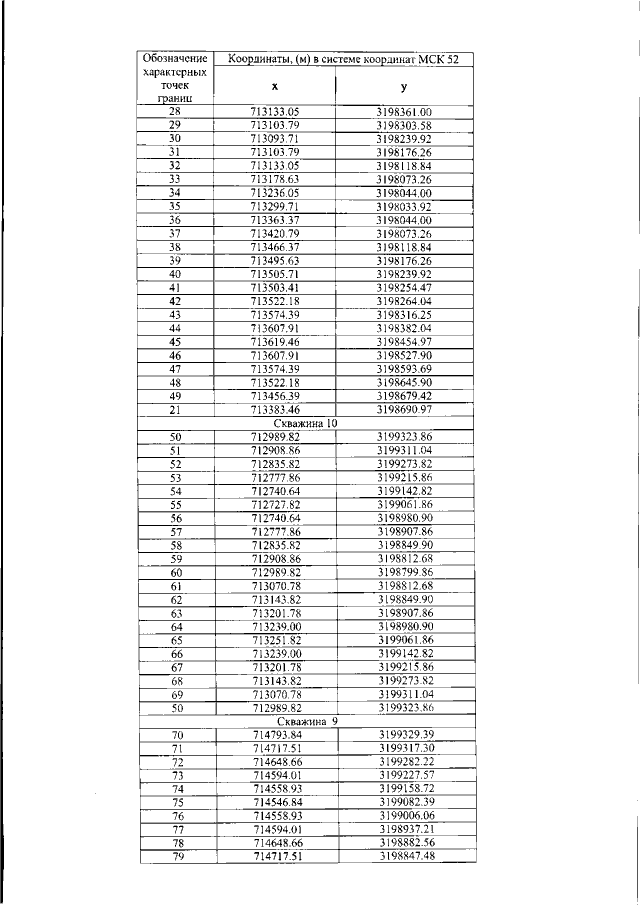
Приказ Министерства экологии и природных ресурсов Нижегородской области от 23.03.2021 № 319-130/21П/од "Об установлении зон санитарной охраны водозаборного участка МУП "Водоканал", расположенного в р.п.Вахтан городского округа город Шахунья Нижегородской области"
(Зарегистрирован 12.04.2021 № 17008-319-319-130/21П/од)
Номер опубликования: 5201202104150006
Дата опубликования: 15.04.2021
Страница №21 из 23:
Увеличить