Официальное опубликование правовых актов
ОФИЦИАЛЬНОЕ ОПУБЛИКОВАНИЕ
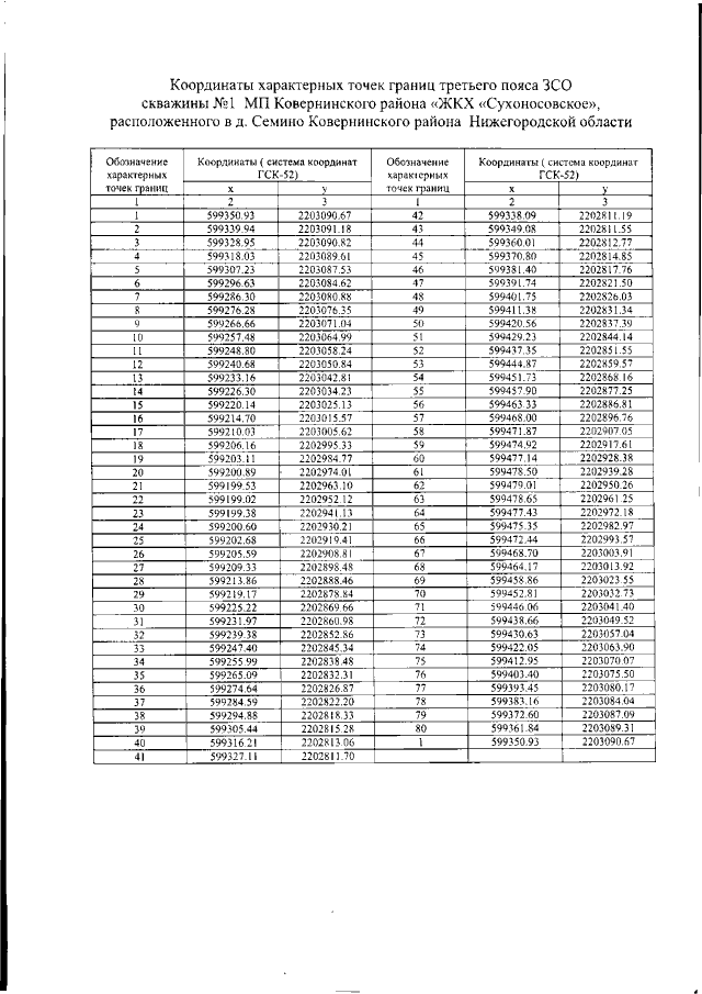
Приказ Министерства экологии и природных ресурсов Нижегородской области от 16.03.2021 № 319-122/21П/од
"Об установлении зон санитарной охраны водозабора МП Ковернинского района "ЖКХ "Сухоносовское", расположенного в д. Семино Ковернинского района Нижегородской области"
(Зарегистрирован 06.04.2021 № 16993-319-319-122/21П/од)
Номер опубликования: 5201202104080006
Дата опубликования: 08.04.2021
Страница №7 из 7:
Увеличить