Официальное опубликование правовых актов
ОФИЦИАЛЬНОЕ ОПУБЛИКОВАНИЕ
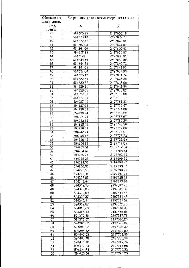
Приказ Министерства экологии и природных ресурсов Нижегородской области от 09.03.2021 № 319-111/21П/од "Об установлении зон санитарной охраны водозабора подземных вод МУП ЖКХ "Северный", расположенного в д. Шадрино Городецкого района Нижегородской области"
(Зарегистрирован 31.03.2021 № 16977-319-319-111/21П/од)
Номер опубликования: 5201202104020004
Дата опубликования: 02.04.2021
Страница №10 из 11:
Увеличить