Официальное опубликование правовых актов
ОФИЦИАЛЬНОЕ ОПУБЛИКОВАНИЕ
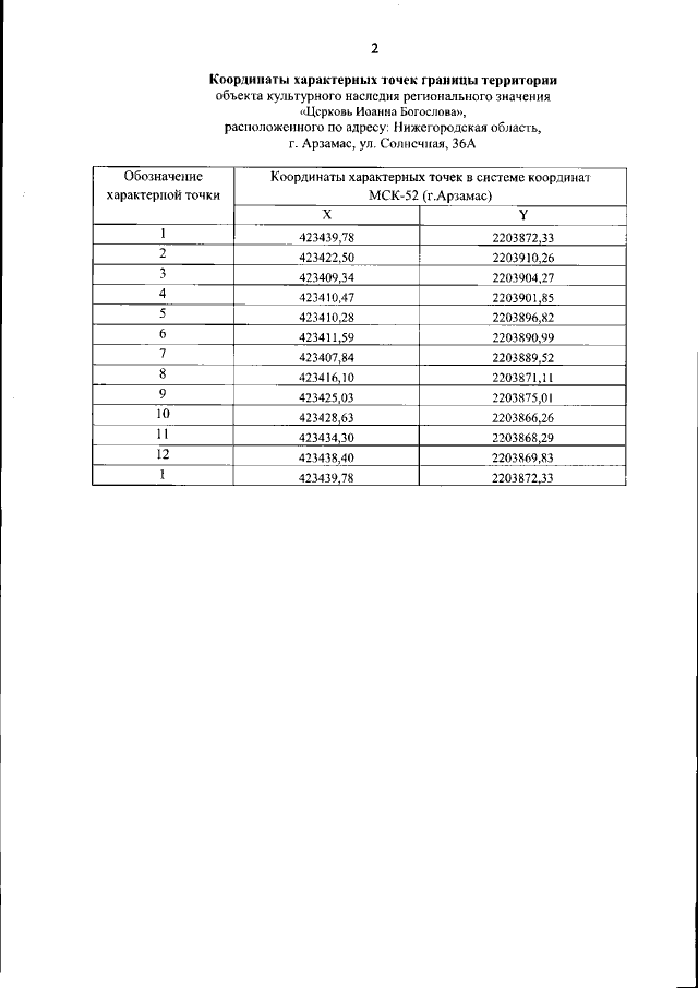
Приказ Управления государственной охраны объектов культурного наследия Нижегородской области от 04.03.2021 № 47 "О включении выявленных объектов культурного наследия, расположенных в Нижегородской области, в единый государственный реестр объектов культурного наследия (памятников истории и культуры) народов Российской Федерации в качестве объектов культурного наследия регионального значения, утверждении границ и режима использования их территорий"
(Зарегистрирован 30.03.2021 № 16971-518-047)
Номер опубликования: 5201202104010006
Дата опубликования: 01.04.2021
Страница №5 из 13:
Увеличить